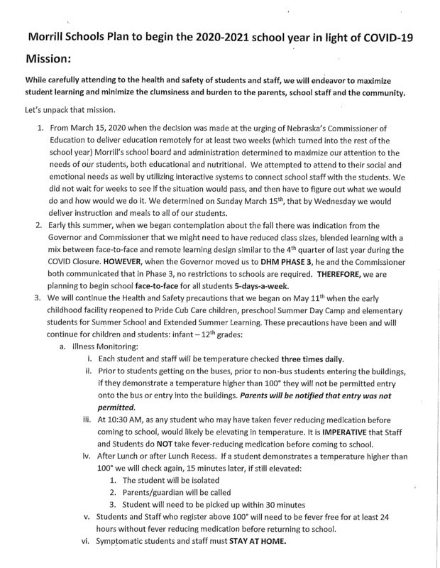
We would like all parents and community members to read this article which explains clearly what our health procedures are for the coming year as we open FACE-TO-FACE to all students FIVE-DAYS-PER-WEEK.



July 16, 2020
We would like all parents and community members to read this article which explains clearly what our health procedures are for the coming year as we open FACE-TO-FACE to all students FIVE-DAYS-PER-WEEK.


